Projeto Hidrossanitário Residencial
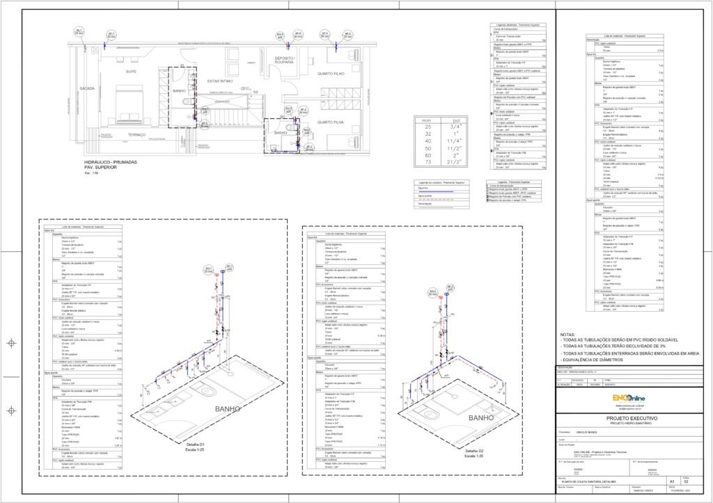
Projeto Hidrossanitário Residencial O projeto hidrossanitário residencial é o plano técnico responsável por organizar o abastecimento de água potável, o escoamento de águas servidas e pluviais, além da ventilação das tubulações dentro de uma residência. Esse projeto define onde passarão os tubos, conexões, registros, caixas de inspeção, reservatórios, pontos de consumo e descarte. Ele […]
Projeto Hidrossanitário Residencial Read More »



